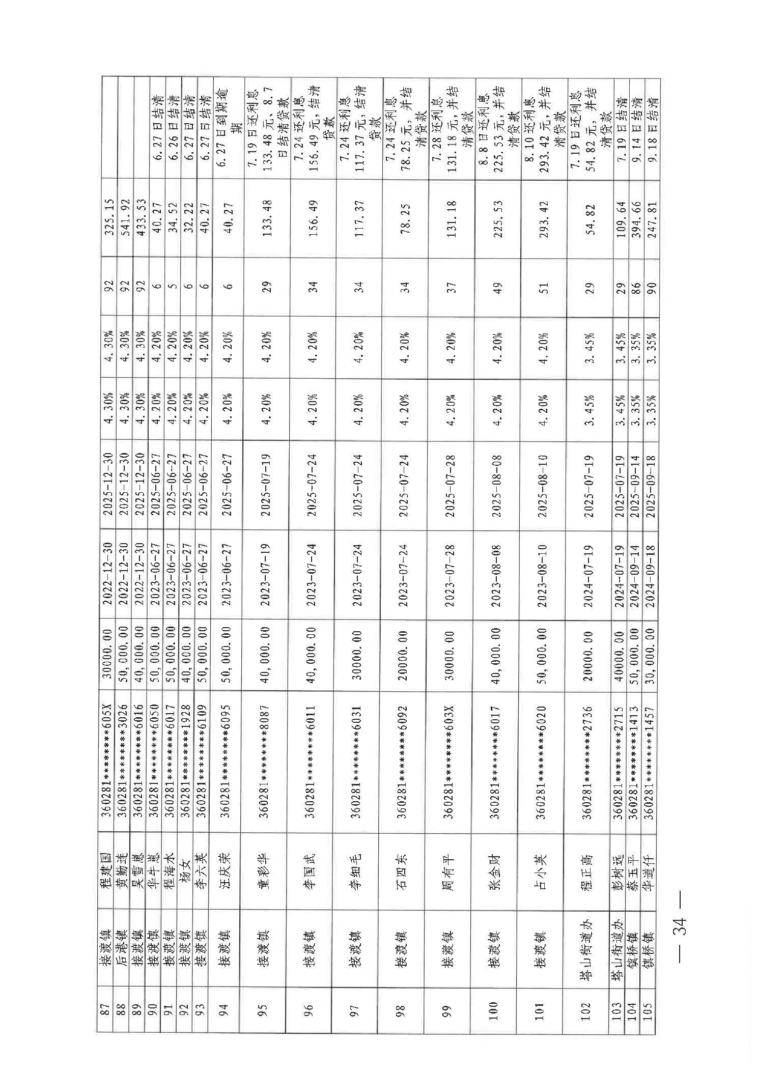
关于对我市脱贫人口小额信贷2025年第三季度贷款贴息的函
乐农函〔2025〕65号
信息来源:
农业农村局
发布日期:
2025-10-24
访问量:
公示单位: 乐平市农业农村局
通讯地址: 乐平市天湖路延伸段农业农村局大楼
农业农村局监督电话: 0798-6216180
上级监督电话: 12317






































相关文档:
相关附件:
关闭
打印