当前位置: 首页 > 专题专栏 > 乡村振兴 > 项目资金
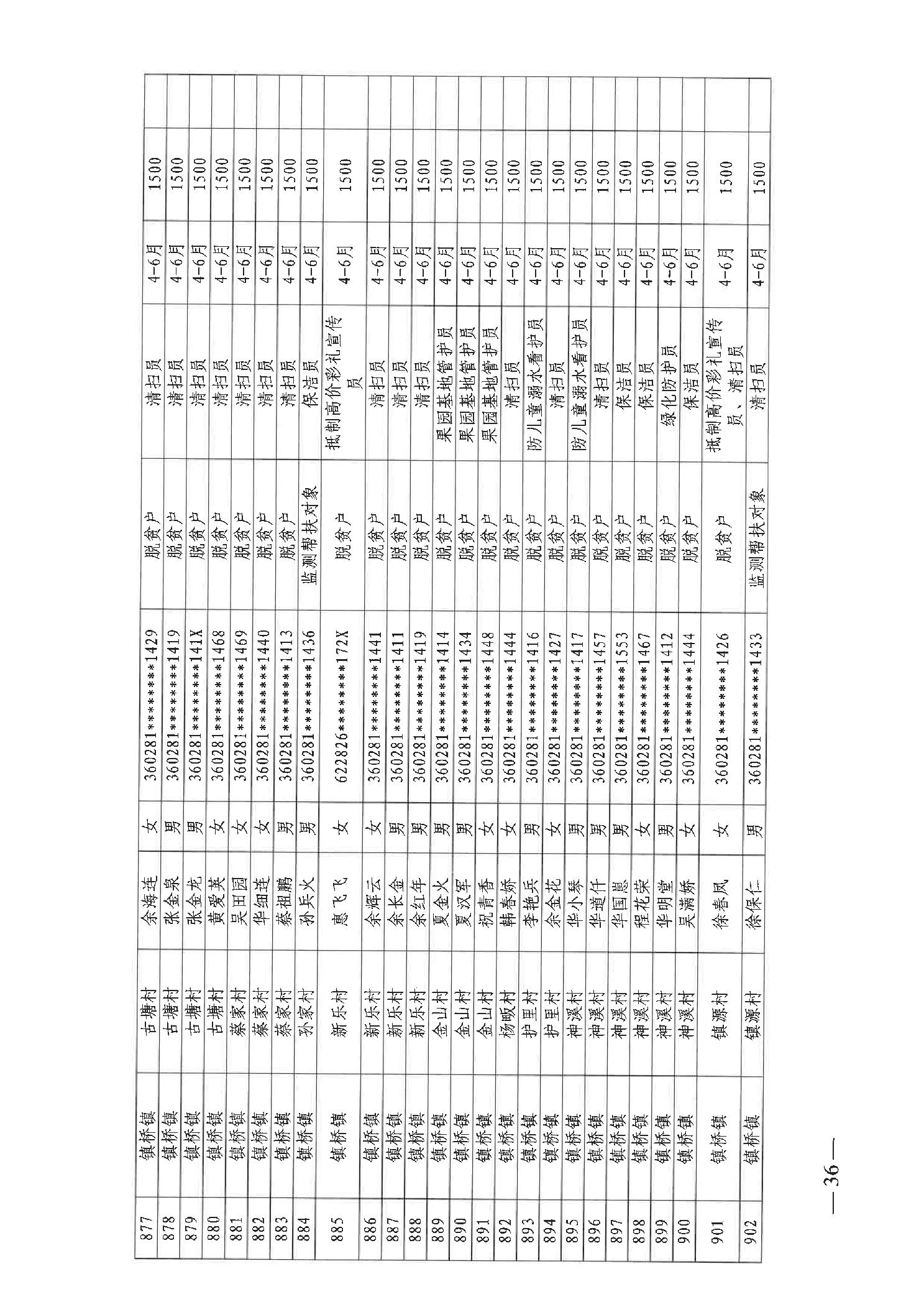
关于发放2025年第二季度公益性专岗就业补助及帮扶车间就业补助的函
乐农函〔2025〕37号
信息来源: 农业农村局 发布日期: 2025-07-19 访问量:

公示单位: 乐平市农业农村局

通讯地址: 乐平市天湖路延伸段农业农村局大楼

农业农村局监督电话: 0798-6216180

上级监督电话: 12317


相关文档:
相关附件:
关闭
打印

主办单位:乐平市人民政府承办单位:乐平市大数据中心ICP备案号:赣ICP15003826号-2

地址:江西省乐平市大连新区为民服务中心二楼 电话:0798-6568602 电子邮箱:lpic@jdz.gov.cn

政府网站标识码:3602810028 赣公网安备:36020002000383

江西乐平市政府版权所有